안녕하세요. 신기한 연구소입니다.
요즘 장거리 출퇴근을 하면서 인공지능 전문가가 되고 싶은 마음에...
딥러닝 책을 읽고 있는데
처음 보는 용어도 많고
이해하기 힘든 부분도 많더군요.
그렇다고 쉽게 포기하면 안 되겠지요.
왕초보라 그런지 개념 정리를 위해 다양한 책과
검색을 통해 많은 시간을 투자하고 있습니다.
딥러닝을 공부하다 보면 1957년 프랑크 로젠블라트가 고안했던
퍼셉트론(perceptron) 알고리즘이 나오는데요.
도대체 퍼셉트론이 무엇인지 살펴보겠습니다.
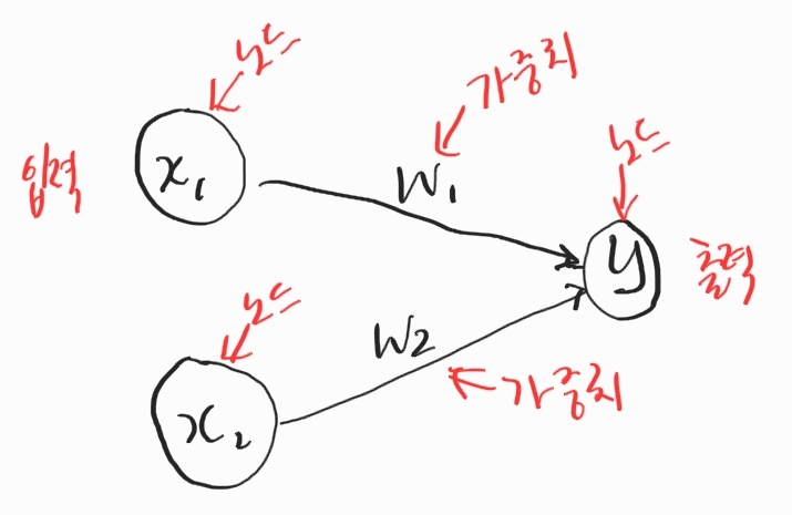
여러 개의 신호를 받아 하나의 결과가 나오는 것을 의미하는데
0 또는 1, 두 개의 값만 갖습니다.
여러개의 입력값과 하나의 출력 값을 표시하는 원을 노드라고 합니다.

입력 신호가 결과 y로 보낼 때 가중치를 곱하는데요.
x1w1 , x2w2 처럼 각 노드 입력값에 가중치를 곱하고
x1w1+x2w2 가 한계를 넘을 때 1이 되는 구조인데
이 한계를 임계값이라 합니다. 기호는 쎄타(θ)로 정의합니다.
w1, w2, w3... 가중치는 각 입력 값마다 값을 줄 수 있습니다.
그렇다면 x1, x2...등 각 입력값에 각각의 가중치를 곱하게 되면
결과에 영향을 줄 수 있겠네요.
w(가중치)를 x(입력값)에 곱해서 y(결과값)가 결정되면 θ(임계값)과
비교해서 크면 1 또는 작거나 같으면 0으로 출력됩니다.
입력값의 중요도는 가중치로 결정됩니다.
중요하면 가중치 값이 크면 되겠지요?
딥러닝의 기초가 되는 퍼셉트론에 대해 공부해봤습니다.
잘못된 정보가 있으면 댓글 주세요.
아래 하트(공감) 버튼을 눌러서 더 다양한 글을 쓸 수 있게 응원 부탁드립니다. 감사합니다.
'Software > Python(파이썬)' 카테고리의 다른 글
| [HOW]파이썬(Python)에서 파일 입출력, 파일 읽고 쓰는 방법. (0) | 2021.03.21 |
|---|---|
| [HOW]파이썬에서 파일 경로 다루는 방법(Python File Path) (0) | 2021.03.07 |
| [HOW]파이썬에서 numpy 설치하는 방법, RuntimeError 오류 해결 , python (2) | 2020.11.04 |
| [HOW]파이썬에서 예외처리 하는 방법, 에러처리, python, 왕초보, exception, error (0) | 2020.10.25 |
| [HOW]파이썬 프로그래밍 문자열 포맷팅 사용하는 방법, python formatted string, 왕초보 (0) | 2020.10.20 |

